We finally got our new paper on GPUmonty out on arXiv! GPUmonty is a GPU-accelerated version of the grmonty code, ported over to CUDA to handle relativistic Monte Carlo radiative transfer way faster. We managed to get a speedup of over 10x compared to the CPU version, which makes a massive difference when you’re trying to run large parameter surveys for black hole modeling. In the paper, we go through all the benchmarking and tests to show it keeps the same accuracy while cutting down the computation time significantly. The code is also publicly available on our GitHub page, so feel free to check it out! We also have a documentation page with a quick start and documenting the functions of the code.
easyFermi: a graphical interface for performing Fermi-LAT data analyses
We are pleased to announce the release of easyFermi, a graphical interface that facilitates the usage of Fermi-LAT data. It takes only 10~15 min to learn how to use this tool, and the user can very easily compute the gamma-ray flux, photon index, spectral energy distribution, light curve, and significance map for any gamma-ray target.
easyFermi allows astronomers from all niches to quickly analyze Fermi-LAT data in just a few clicks. The installation guideline and analysis tutorials can be found on GitHub, while the paper detailing easyFermi can be found here. Come on, give it a try!

A nonthermal “bomb” producing a strong flare in Sgr A*
Our paper titled “A nonthermal bomb explains the near-infrared superflare of Sgr A*” has been accepted for publication in The Astrophysical Journal Letters, and it is freely available in arXiv. The work was developed by PhD student Eduardo Gutiérrez, from the GARRA group at the Argentine Institute of Radio Astronomy, and Prof. Rodrigo Nemmen and PhD student Fabio Cafardo from the Black Hole Group at USP. In the Letter, we propose a physical mechanism to explain an unprecedented powerful flare that took place in Sgr A* last year.
On 13 May 2019, the supermassive black hole at our Galactic center experienced the strongest near-infrared flare detected so far. The observations made with the Keck Telescope led Prof. Tuan Do, from the University of California, Los Ángeles, and collaborators to publish a Letter reporting the results. The following animation is a superpositions of the images taken by the Keck telescope, and shows the strong variable emission detected that night:
Interestingly, the flare was catched when the brightness was already diminishing, which suggests that its peak luminosity might have been even higher!
Sgr A* is known to experience regular flares in several bands of the spectrum, extending from radio up to X-rays; however, the NIR flare on May 2019 was much brighter than any other ever before. In our work, we propose a possible physical mechanism which might have been the responsible for the flaring emission. We frame the event under the term nonthermal bomb. But what do we mean by this term?

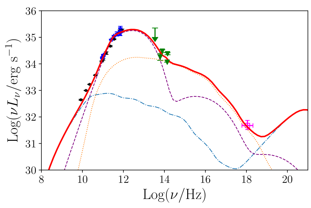
The accretion flow onto our galactic center is extremely thin; very little amount of matter feeds the black hole. These low-density flows are usually called Radiatively Inefficient Accretion Flows (RIAFs) because most of the gravitational energy released by the matter is swallowed by the hole and not radiated. Given the very low densities, the plasma in these flows is extremely collisionless and particles have difficulties to exchange energy between themselves efficiently. As a consequence, they may not reach thermal equilibrium, and a fraction of them can be nonthermal. In fact, it is thought that a small population of nonthermal electrons steadily present in the accretion flow is the responsible for the quiescent radio emission of Sgr A*. To represent the ambient conditions in the flow we have followed the standard modelling of a RIAF around Sgr A* in the steady state (see Yuan et al. 2003). The following image shows the Spectral Energy Distribution (SED) predicted by this model, which is in very good agreement with the multiwavelength data. The different colors in the plot represent the different emission processes that take place in the flow.
Over the background ambient responsible for the quiescent emission, an additional transient process must occur in order to produce a flare like the one we are dealing with. Do et al. (2019) suggested that a large increase in the accretion rate (for example, the accretion of a denser blob of matter) might be what caused the enhanced emission. On the contrary, we propose a different mechanism: that a huge amount of magnetic energy was released in the accretion flow in a bursting event and was able to accelerate an additional amount of electrons to relativistic energies. Those we do not state which particular acceleration mechanism is working, the most plausible culprits are magnetic reconnection and turbulence acceleration. Since we dealt with a time-dependent process we took into account the evolution of this population of accelerated relativistic particles as they cool by synchrotron emission and are advected towards the hole. Interestingly, given the length-scales of the accretion flow in Sgr A*, both of these processes, namely cooling by synchrotron and advection, are of the same order that the detected flare. In the following figure we show the flare data and the fitting we obtain with our model.

Despite some degeneration in the parameters, our model is able to explain the flare emission and fit the data very accurately. We also make predictions in X-rays and mm wavelengths (Event Horizon Telescope band) that might help to test our model against others. We expect that this works motivate further investigation on particle acceleration and bursting events in RIAFs, and in particular in Sgr A*.
This work was supported by FAPESP (Fundação de Amparo à Pesquisa do Estado de São Paulo) under grant 2017/01461-2.

GNU Scientific Library (GSL) partially ported to NVIDIA GPUs: cuSL
Recently, we embarked in the adventure of porting a “Monte Carlo radiative transfer in curved spacetimes” code from multi-threaded CPUs to GPUs. This work is important for three reasons:
- It is fun!
- It is important because most general relativistic radiative transfer procedures currently available neglect inverse Compton scattering, which is particularly important to the group since we want to understand the nonthermal emission of active galactic nuclei
- Radiative transfer can be slow; on the other hand, it can usually be made massively parallel with a couple of algorithmic improvements
These are some of the reasons why we decided to port a radiative transfer code to GPUs. We have reasons to believe that we can achieve speed-ups of a factor of ~100 times compared to a parallel, OpenMP (CPU) version of the code when using a modern GPU such as a GTX 1080 Ti. This can be a game-changer to allow faster modelling of the radiation from accreting black holes.
We are collaborating with colleagues from the computer science department at the university (Alfredo Goldmann and Matheus Tavares Bernardino). This is work in progress and we have some exciting preliminary results, which we unfortunately cannot publicly share yet. We hope to soon have a paper reporting these results and share the GPU-accelerated black hole radiative transfer code on Github.
In the meantime, we have one software deliverable from this project which may be useful for other researchers: we partially ported some functions of the GNU Scientific Library (GSL) to CUDA. More specifically, we ported the following functions:
- gsl_ran_dir_3d: generate random vectors in the 3D space
- gsl_sf_bessel_K0_scaled_e, gsl_sf_bessel_K1_scaled_e, gsl_sf_bessel_Kn: different sorts of “exotic” Bessel functions
- gsl_ran_chisq: generate random numbers drawn from the chi-square distribution
- cheb_eval_e: Chebyshev polynomial
- gsl_sf_lnfact_e, gsl_sf_fact_e: factorial
- gsl_ran_gamma_double: Gamma distribution
- gsl_sf_psi_int_e: Digamma (Psi) function
- gsl_poly_eval: polynomial evaluation
We called this GSL CUDA-port cuSL. It is publicly available on Github. Hopefully, this may be useful to other researchers that are doing mathematical physics computations using CUDA and NVIDIA GPUs.
Chocolate, raclette and black holes
(with contributions by Ivan Almeida)
The Saas-Fee course is a yearly series of lectures usually held in the ski resort of Saas-Fee, Switzerland. This year, the 48th edition of the Saas-Fee course was held between 28th January and 3rd February, and was devoted to black holes. More specifically, the main subjects were black hole formation and growth. Four members of the group – Fábio, Gustavo, Ivan and Raniere – attended the event and presented their current work in the form of panels.
With about 130 participants coming from all over the world, the school was a valuable place to exchange experiences and ideas. The lectures, which were presented by professors Neil Cornish (Montana State University), Tiziana Di Mattteo (Carnegie Mellon University) and Andrew King (University of Leicester), focused on different aspects of black holes, including both theory and observations.
Professor Cornish covered theoretical and instrumental topics on mergers of compact objects as well as gravitational waves emerging from these events. He finished by including what we may expect in the next couple of years with the improvement of our current detectors’ capabilities and the addition of new gravitational wave detectors – both ground-based as well as the space-based LISA.
Professor Di Matteo’s lectures focused on the cosmological history of black holes, covering subjects like primordial black holes – and their possible origins -, first quasars and the current cosmological state of supermassive black holes in the center of galaxies.
Professor King presented a theoretical overview on accretion flows around black holes and black hole feedback, covering the formation and necessity for accretion flows, the black hole influence on its surroundings as well as a few open questions on the subject.
All lectures were very good, just like the chocolate and the cheese.

